| 431 |
[경북지부]24년 9월달 정기교육 포인트신청
|
금병철(우담(優潭))[⊙DP23-1031] |
24-09-10 |
16 |
| 430 |
[연수실] 캐논 아카테미 5차 가을 출사 촬영법 교육
|
임용규(행정지원팀장) |
24-09-10 |
14 |
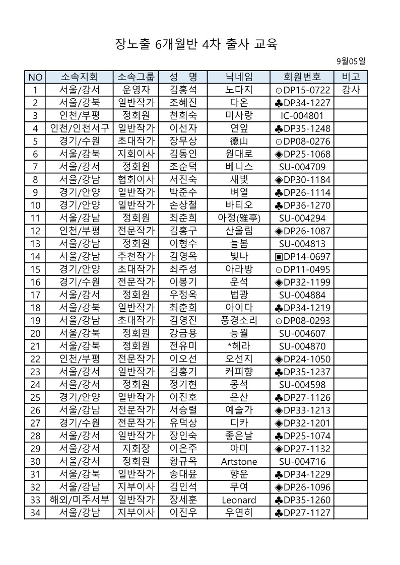
| 429 |
[연수실] 장노출 6개월반 4차 출사 참석자 명단
|
임용규(행정지원팀장) |
24-09-06 |
20 |
| 428 |
[부산지부] 2024년 8월 정기 교육에 따른 포인트 신청
|
이성용(수보)[⊙DP18-0851] |
24-08-29 |
17 |
| 427 |
[대전지부] 08월 정기교육에 따른 포인트 신청
|
한상선(레일로드)[▣DP26-1109] |
24-08-27 |
23 |
| 426 |
[경기지부] 08월 정기교육에 따른 포인트 신청
|
이민경(민경)[♣DP35-1253] |
24-08-25 |
23 |
| 425 |
[연수실] 캐논 4차 Dpp사용 편집교육
|
임용규(행정지원팀장) |
24-08-20 |
23 |
| 424 |
[인천지부]8월 정기교육에 따른 포인트신청
|
유정화(백합.)[♣DP27-1119] |
24-08-14 |
14 |
| 423 |
[연수실] 캐논 아카데미3차(풍경사진의 이해 )교육
|
임용규(행정지원팀장) |
24-08-09 |
26 |
| 422 |
[연수실] 장노출 6개월반 포토샵 카메라 기능교육 참석자 명단
|
임용규(행정지원팀장) |
24-08-01 |
34 |
| 421 |
[연수실] 장노출 6개월반 2차 출사 참석자 명단
|
임용규(행정지원팀장) |
24-07-29 |
45 |
| 420 |
[부산지부] 2024년 7월 정기 교육에 따른 포인트 신청
|
이성용(수보)[⊙DP18-0851] |
24-07-25 |
20 |
| 419 |
[대전지부] 07월 정기교육에 따른 포인트 신청
|
한상선(레일로드)[▣DP26-1109] |
24-07-22 |
21 |
| 418 |
[인천지부] 7월 정기 교육에 따른 포인트 신청합니다.
|
유정화(백합.)[♣DP27-1119] |
24-07-22 |
15 |
| 417 |
[연수실] 장노출 6개월반 합성 및 포토샵 참석자 명단
|
임용규(행정지원팀장) |
24-07-15 |
23 |
| 416 |
[경기지부] 07월 정기교육에 따른 포인트 신청
|
이민경(민경)[♣DP35-1253] |
24-07-06 |
29 |
| 415 |
[부산지부] 2024년 6월 정기 교육에 따른 포인트 신청
|
이성용(수보)[⊙DP18-0851] |
24-06-27 |
23 |
| 414 |
[연수실] 장노출 6개월반 1차 강화도 출사 참석자 명단
|
임용규(행정지원팀장) |
24-06-26 |
22 |
| 413 |
[울산지부] 06월 정기(현장)교육에 따른 활동포이트 신청합니다.
|
위성태(성태)[▣DP21-0964] |
24-06-23 |
18 |
| 412 |
[경북지부] 2024년 6월 정기 교육 포인트 신청
|
금병철(우담(優潭))[⊙DP23-1031] |
24-06-19 |
20 |